1- ANALYSE DES SIGNAUX ÉLÉMENTAIRES : SINUS, CARRÉ, TRIANGULAIRE ET TRAIN D'IMPULSIONS

1- La théorie de l'analyse spectrale des signaux : On représente les signaux dans deux domaines différents :

  • Domaine du Temps ou en fonction du temps : C'est tout simplement l'expression mathématique v(t). En pratique on utilise un oscilloscope pour visualiser le signal dans ce domaine.
  • Domaine de la fréquence : La représentation mathématique est beaucoup plus complexe, on utilise l'analyse de Fourier afin de trouver les composantes en fréquence d'un signal périodique. En résumé l'analyse de Fourier nous dit que tout signal périodique peut être représenté par une somme de sinus et de cosinus tel qu'illustré par l'équation suivante :

    La série de Fourier d'un signal périodique
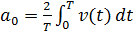
    Avec a0, aN et bN nommés les coefficients de Fourier qu'on calcule à l'aide des équations suivantes :

    Les coefficients de la série de FourierLes coefficients de la série de Fourier Les coefficients de la série de Fourier
    Notre objectif est de prendre le résultat du calcul des coefficients et de l'appliquer dans l'analyse spectrale des signaux. En pratique on utilise un analyseur de spectre pour visualiser le signal dans le domaine de la fréquence où l'axe horizontal représente la fréquence f et le vertical la tension en [V] ou la puissance en [dBm] comme c'est le cas en télécommunication.

1.1- Onde Sinusoïdale : C'est l'expression la plus simple d'un signal son spectre est représenté par une impulsion située à la fréquence f du signal. Ce résultat s'applique aussi au signal cosinusoïdale

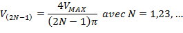
1.2- Onde Carrée : D'après l'analyse de Fourier, l'onde carrée est la somme d'un nombre infini de sinus. Chaque sinus a une fréquence multiple impaire de la fréquence du signal carré qu'on nomme la fréquence fondamentale (N = 1) et ses multiples nommées les harmoniques. Par exemple, un signal carré ayant une fréquence égale à 100 kHz aura comme spectre un nombre infini de sinus ; donc des impulsions , situées à 100, 300, 500, 700 kHz et ainsi de suite. L'amplitude de chaque sinus est donnée par la relation ci-dessous :

Les coefficients de la série de Fourier pour une onde carrée

1.3-Onde Triangulaire : L'onde triangulaire, comme l'onde carrée, est aussi une somme infinie de sinus ayant un multiple impair de la fréquence du signal sauf que l'amplitude de ces sinus est plus petite que celle du signal carré et elle est donnée par l'équation suivante :

Les coefficients de la série de Fourier pour une onde triangulaire

1.4-Train d'Impulsions : Les caractéristiques de cette onde sont données par la figure suivante :

Train d'impulsion

Les coefficients de Fourier de cette onde sont données par les expressions suivantes :

Le coefficient a0 de la série de Fourier pour un train d'impulsion
Le coefficient an de la série de Fourier pour un train d'impulsion
Le coefficient bn de la série de Fourier pour un train d'impulsion
On note que les harmoniques du train d'impulsions peuvent être d'ordres pairs et impairs selon le rapport cyclique τ des impulsions.